Sebutkan Langkah Langkah Menyusun Teks Eksplanasi
Anderson menambahkan bahwa langkah-langkah untuk menyusun teks eksplanasi dapat disederhanakan menjadi dua langkah. Melalui teks eksplanasi pembaca akan memahami bagaimana fenomena-fenomena itu terjadi.

Sebutkan Langkah Langkah Teks Eksplanasi Perhitungan Soal
Menurut Wahidi 2009 struktur teks eksplanasi yaitu.

Sebutkan langkah langkah menyusun teks eksplanasi. Dengan merencanakan objek atau topik yang akan ditulis penulis dapat mengira-ngira informasi apa saja yang dibutuhkan dan sumber apa yang bisa digunakan. Berikut langkah-langkah menulis teks eksplanasi. Langkah langkah menulis teks eksplanasi.
Langkah-langkah tersebut adalah sebagai berikut. Berikut langkah-langkah yang dapat dilakukan dalam memproduksi teks eksplanasi. Admin dari blog Coba Sebutkan 2019 juga mengumpulkan gambar-gambar lainnya terkait sebutkan langkah langkah menyusun teks eksplanasi dibawah ini.
Dalam menulis sebuah teks eksplanasi anda harus memperhatikan struktur teks yang telah ditentukan. Misalnya proses terjadinya. Secara umum langkah-langkah dalam menyusun teks eksplanasi adalah sebagai berikut.
Menentukan kejadian atau fenomena yang akan dijelaskan. Pengertian Teks Eksplanasi Secara etimologi eksplanasi adalah istilah yang diadopsi dari bahasa Inggris explanation yang memiliki arti. Menentukan Tema Tulisan Tahap pertama dalam menulis karangan adalah menentukan tema atau topik.
Bagian ini merupakan bagian yang pertama kali harus dilakukan. Sebutkan langkah langkah menulis teks eksplanasi - 21490077 Kebangkitan nasional merupakan tonggak sejarah bagi bangsa Indonesia dalam rangka mewujudkan kemerdekaan bangsa Indonesia dari penjajahan. Sementara itu Mulyadi 2013176 menjelaskan langkah-langkah menyusun teks eksplanasi secara tertulis sama dengan langkah-langkah menulis karangan pada umumnya hanya saja isinya yang berbeda.
Berdasarkan kurikulum 2013 bahan belajar menyusun teks eksplanasi dengan langkah-langkah yang mudah tergolong ke dalam aspek keterampilan. Semoga selalu sehat ya supaya bisa terus belajar agar meraih prestasi. Langkah-langkah Memproduksi Teks Eksplanasi Secara umum langkah-langkah menyusun teks eksplanasi terdiri dari menentukan tema menentukan tujuan mengumpulkan data mengembangkan kerangka dan menyunting teks.
Mulyadi 2013176 menjelaskan langkah-langkah menyusun teks eksplanasi secara tertulis sama dengan langkah-langkah menulis karangan pada umumnya hanya saja isinya yang berbeda. Tentukan fenomena alam sosial atau budaya yang ingin kamu sajikan. Baik itu oleh jurnalis ahli atau oleh para pemula.
Jadi teks eksplanasi yang disusun hanya sampai pada rangkaian paragraf yang menjelaskan mengapa dan bagaimana. Mendata peristiwa di lingkungan sekitar. Peristiwa sehari-hari di lingkungan sekitar dapat disajikan bahan untuk menyusun teks eksplanasi.
Menentukan topik yang menarik. Membuat teks eksplanasi sangat mudah dilakukan. Eksplanasi sebutkan langkah menyusun teks eksplanasi sebutkan struktur teks eksplanasi sebutkan unsur kebahasaan teks eksplanasi struktur.
Berikut informasi sepenuhnya tentang sebutkan langkah langkah menyusun teks eksplanasi. Menyusun kerangka teks yaitu dengan mengembangkan topik utama ke dalam rincian-rincian topik yang lebih spesifk yang disusun dengan urutan kronologis atau kausalitas. Oleh Dosen Pendidikan 2 Diposting pada 12042021.
Kompetensi tersebut harus bisa dicapai oleh peserta didik. Terdapat beberapa peristiwa yang terjadi yang kita ketahui. Cara Membuat Teks Eksplanasi.
Menentukan topiktema bmenentukan tujuan karangan c. Hal ini bertujuan agar teks yang dibuat bisa sesuai dengan kriteria jenis teks. Pengertian Tujuan Ciri Struktur Kaidah Kebahasaan dan Contohnya Lengkap - Teks eksplanasi adalah teks yang berisi.
Dalam membuat teks eksplanasi kita dapat menggunakan dua pola pengembangan yaitu pola pengembangan sebab akibat dan pola pengembangan proses. Menyusun kerangka karangan sesuai dengan topik yang dipilih agar menjadi suatu urutan pernyaaan umumderetan penjelasan dan. Materi Teks Eksplanasi.
Terdapat beberapa langkah yang harus Anda ikuti untuk membuatnya. Mungkin bagi kamu yang belum paham dengan teks eksplantasi ini akan bingun. Ditinjau dari segi bahasa keterampilan menyusun.
Langkah-Langkah Menulis Teks Eksplanasi yang Tepat. Langkah-langkah penulisan teks eksplanasi yaitu. Paket-wisatabromo-com Menyusun teks eksplanasi dengan langkah-langkah yang mudah menjadi bahan ajar peserta didik SMP MTs kelas 8 semester2.
Adapun langka-langkah menyusun teks eksplanasi dapat disajikan sebagai berikut. Menentukan topik atau suatu kejadian yang menarik dikuasai dan aktual. Langkah-langkah menyusun teks eksplanasi.
Mengumpulkan data dari berbagai sumber d. Menyusun Teks Eksplanasi dengan Langkah-Langkah yang Mudah. Dua langkah tersebut yakni hanya langkah petama dan langkah kedua.
Struktur Ciri-ciri Jenis dan Contoh. Itulah yang dapat admin bagikan terkait sebutkan langkah langkah menyusun teks eksplanasi. Admin blog Berbagai Teks Penting 2019 juga mengumpulkan gambar-gambar lainnya terkait sebutkan langkah langkah menyusun teks eksplanasi dibawah ini.
Nah berikut beberapa langkah yang bisa Anda lakukan saat akan membuat. 2224 Langkah-langkah Menyusun Teks Eksplanasi Dalam Standar Isi Kurikulum 2013 salah satu kompetensi yang harus dikuasi oleh peserta didik kelas VII Sekolah Menengah Pertama SMP adalah keterampilan menyusun teks eksplanasi secara lisan maupun tertulis.

Sebutkan Langkah Langkah Menyusun Teks Eksplanasi Brainly Co Id

Sebutkan Langkah Langkah Menyusun Teks Eksplanasi Berbagai Teks Penting
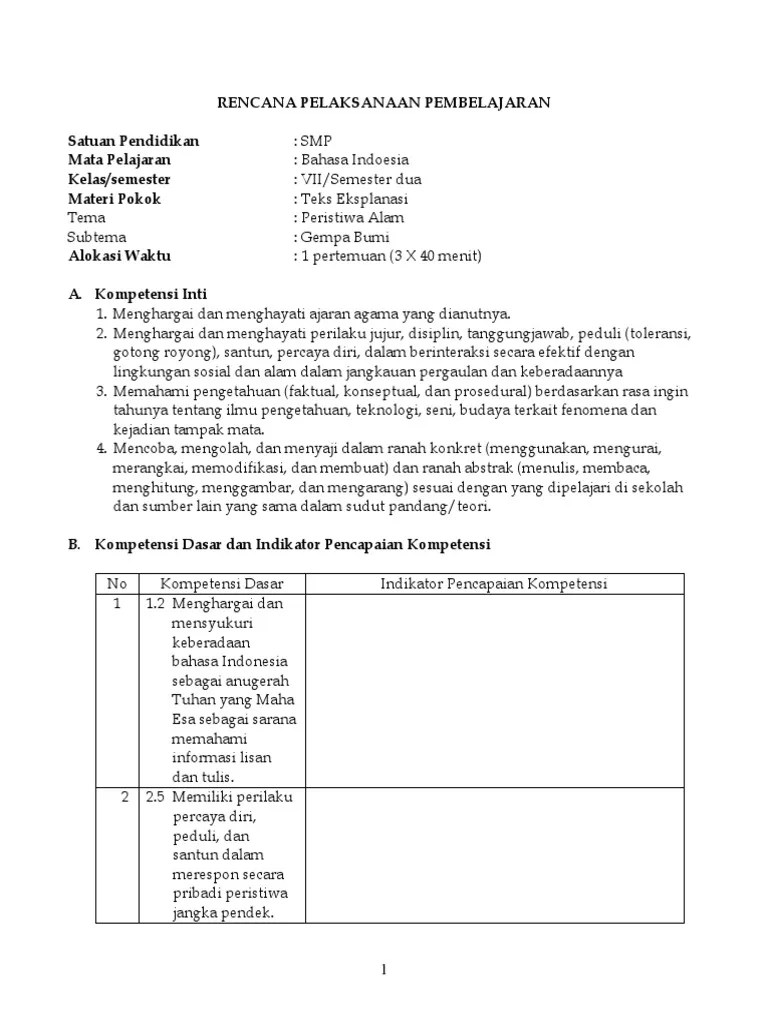
Sebutkan Langkah Langkah Menyusun Teks Eksplanasi Gempa Bumi Berbagai Teks Penting Cute766

Sebutkan Langkah Langkah Menyusun Teks Eksplanasi Coba Sebutkan
Sebutkan Langkah Langkah Menyusun Teks Eksplanasi Gempa Bumi Berbagai Teks Penting Cute766

Sebutkan Langkah Langkah Menyusun Teks Eksplanasi Berbagai Teks Penting

Sebutkan Langkah Langkah Menyusun Teks Eksplanasi Coba Sebutkan

Pengertian Teks Eksplanasi Struktur Contoh Ciri Kaidah

Langkah Langkah Membuat Teks Eksplanasi Nasi
Posting Komentar untuk "Sebutkan Langkah Langkah Menyusun Teks Eksplanasi"